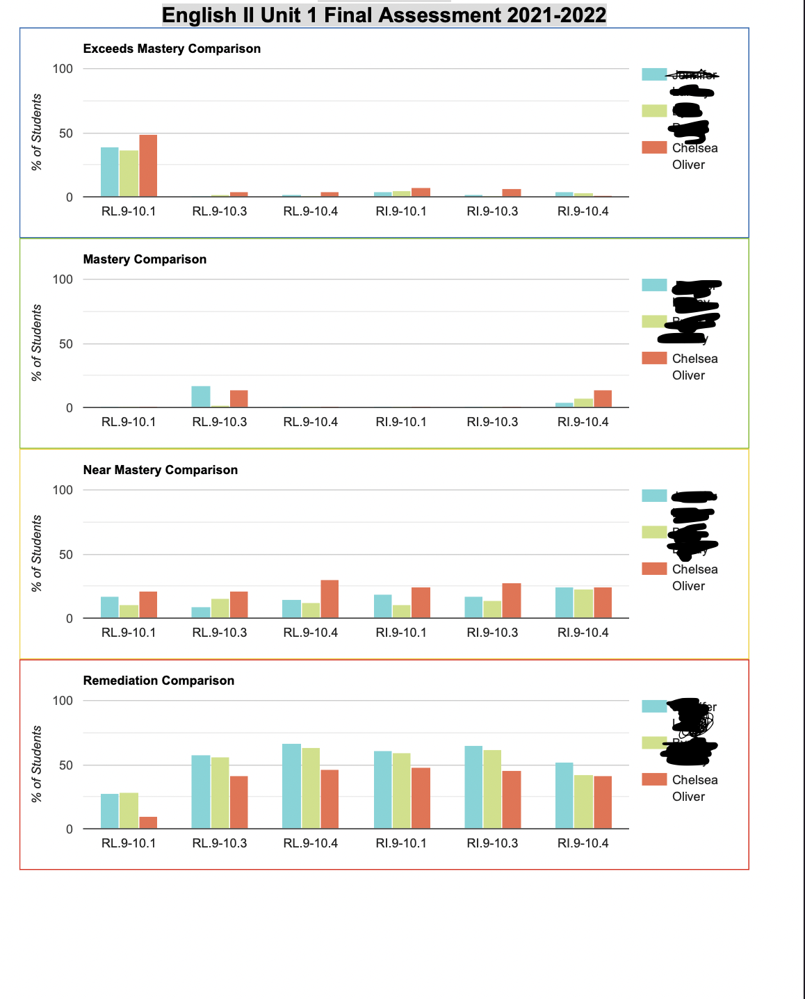
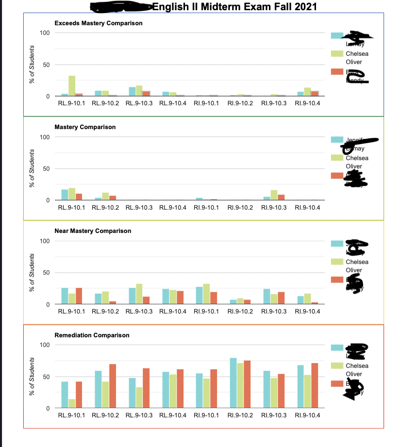
Data Analysis

β€œOne machine can do the work of fifty ordinary men. No machine can do the work of one extraordinary man.”

-Elbert Hubbard

Previous
Previous

Introduction

Next
Next

Student Work